главная о лаборатории новости&обновления публикации архив/темы архив/годы поиск альбом
Виталий СААКОВ, рук.PRISS-laboratory / открыть изображение Виталий СААКОВ, рук.PRISS-laboratory / открыть изображение БИБЛИОТЕКА
тексты Московского методологического кружка и других интеллектуальных школ, включенные в работы PRISS-laboratory
Щедровицкий Георгий Петрович
  Щедровицкий Георгий Петрович, 23.02.1929 — 03.02.1994, философ и методолог, общественный и культурный деятель. Создатель научной школы, лидер основанного и руководимого им на протяжении 40 лет Московского Методологического Кружка (ММК) и развернувшегося на его основе методологического движения. Разрабатывал идею методологии как общей рамки всей мыследеятельности.
виталий сааков / priss-laboratory:
тексты-темы / тексты-годы / публикации
     
вернуться в разделш библиотека  
содержание разделаш На перекрестке мысли: введение в системомыследеятельностный подход  
    Предисловие  
  I. Проблемы построения теории мышления и системомыследеятельностный подход
    Проблемы построения теории мышления
    1. [Пространство методологической работы и деятельностный подход]
    2. [Проблемы организации пространства методологического мышления. Рефлексия и мышление]  
    3. Мышление, мыслительная деятельность и деятельность  
    Сноски и примечания  
    4. [Смысл методологической работы. Проблематизация основных методологических понятий]  
    5. [Построение понятий и вопросы онтологии]  
    6. [Понятие рефлексии. Рефлексия и мышление. Рефлексия и сознание]  
    Сноски и примечания  
    7. [Чистая рефлексия и организованная рефлексия]  
    Сноски и примечания  
  II. «Подход» – что это?
    О понятии «подход»
    1 Деятельностный подход. Введение в тему
    2. Системно структурный подход
    3. О понятии «подход» (продолжение)
    4. О системном подходе в структуре подхода
    Сноски и примечания  
  III. Как «подход» употреблять в кооперативной работе?
    5. В чем специфика методологического подхода к проблемам науки
    6. Системно структурный подход в анализе и описании эволюции мышления
    7. Проблемы организации исследований: от теоретико мыслительной к оргдеятельностной методологии анализа
    8. Нормативно деятельностный подход в исследовании интеллектуальных процессов
    9. Дискуссия
    10. Вопросы и дискуссия по пленарному докладу Г.П.Щедровицкого на психологической секцииссия
    11. Человеческая деятельность и предметный мир
    1. Старые понятия и новый подход
    2. Основания объектно-онтологической картины
    3. Схема анализа предметного мира и людей в контексте деятельностного подхода
  IV. Как «подход» передавать другим (воспроизводство)?
  О значении исследования коммуникации для развития представлений о мыследеятельности
  Методологический смысл оппозиции натуралистического и системодеятельностного подходов
  Организационно-деятельностный подход: цели и задачи психологических исследований в сфере физкультуры и спорта
  I. Современное состояние, основные проблемы и перспективы развития психологии спорта
  2. Организация и управление в контексте борьбы и конкуренции – суть спортивной работы
  3. Значение знаний для развивающейся сферы деятельности. Проблема приложения знаний
  4. Простейшая схема цикла жизни знания
  5. Схема использования нескольких разнопредметных знаний
  6. Проблема применения научных знаний в практике. Идеальные объекты науки и реальные предметы практики
  7. Представление о прикладной дисциплине
    Сноски и примечания  
    Сноски и примечания  
  V. Как работает системомыследеятельностный подход?
  Основные понятия и проблемы системомыследеятельностного подхода
  1. Проблема психологизма и методологизма в Московском методологическом кружке
  2. [Основания системомыследеятельностного подхода. Смысл и границы деятельностного подхода]
  Перспективы и программы развития системомыследеятельностной методологии
    Сноски и примечания  
  Краткая характеристика метода работы, или способа мышления [13 принципов системомыследеятельностного подхода]
    Сноски и примечания  
       
  Литература
  Именной указатель
  Над книгой работали
       
  текст в формате Word
источник: http://www.litres.ru/pages/biblio_book/?art=71388268
«Учение Георгия Щедровицкого: в 10 т. Том I : Подход. Книга 1 : На перекрестке мысли: введение в системомыследеятельностный подход / Г.П.Щедровицкий»: Манн, Иванов и Фербер; Москва; 2024
ISBN 9785002146123
 
  Издано при поддержке Некоммерческого научного фонда «Институт развития им. Г.П.Щедровицкого»
Редактор составитель Г.А.Давыдова
 
     
  НА ПЕРЕКРЕСТКЕ МЫСЛИ: ВВЕДЕНИЕ В СИСТЕМОМЫСЛЕДЕЯТЕЛЬНОСТНЫЙ ПОДХОД  
III. Как «подход» употреблять в кооперативной работе?  
  В чем специфика методологического подхода к проблемам науки(84)  
Задача представителя специальной науки состоит в том, чтобы построить знание о предмете своего изучения, или, иначе, описать этот предмет в некоторой знаковой форме. При этом ученый пользуется средствами и методами, уже выработанными в его науке. Пока они «работают» безотказно и дают знания, хорошо согласующиеся между собой и отвечающие поставленным задачам, ему не приходится задумываться по поводу их характера и строения. Иное положение складывается, когда встают задачи, не разрешимые старыми средствами и методами, или когда появляются новые объекты, к которым старые средства не могут быть приложены; тогда условием решения задачи становится создание новых средств и методов. Как это делается?
Возможны две полярные линии.
Одна – это путь «искусства»(85). Он заключается в комбинировании уже существующих в данной науке средств и методов, в многочисленных пробах, приводящих в конце концов к трансформации этих средств и к нахождению случайного решения, в попытках переноса средств из других наук, отсеивании неудачного и в приспосабливании, прилаживании того, что оказалось наиболее подходящим. Главные факторы в этом процессе – время и число проб; в конце концов нужное средство бывает найдено. Основной признак – отсутствие каких либо общих знаний о средствах и методах, которые бы направляли и регулировали этот поиск.
Второй путь разработки новых средств исследования предполагает теорию самих методов – «методологию». В этом случае специалист предметник комбинирует не просто что придется, что попало «под руку», а в соответствии с имеющимися у него знаниями о всех существующих в это время средствах и их отношении к задачам.
Он пытается перенести не любые средства из других наук, а только те, о которых он знает, что они могут подойти для решения вставших перед ним задач и описания заданных ему объектов; в случае необходимости он создает новые средства, заранее зная, подобно инженеру, создающему машины, какими они должны быть. Но какой должна быть сама методология науки, ее знания, чтобы обеспечить подобную работу по созданию средств научного исследования?
Существуют две основные точки зрения на этот счет. Представитель первой точки зрения (ее можно назвать «натурфилософской») считает, что предмет методологии – природа, мир как таковые. С этой стороны, методолог, на его взгляд, ничем не отличается от специалиста предметника. Например, физик анализирует физические процессы в объектах, и ученый, работающий в области методологии физики, тоже должен изучать эти же физические процессы. Разница между ними заключается только в том, что физик будет изучать физические процессы конкретно, опираясь, с одной стороны, на экспериментальные методы, с другой стороны – на аппарат математики, а методолог будет изучать физические процессы «в общем», выделяя их «общие» стороны и свойства. По убеждению натурфилософа, понятия, вырабатываемые при таком «общем подходе» к физическим процессам, могут служить методами для конкретного физического исследования.
Представитель второй точки зрения (ее можно назвать «теоретико познавательной») считает, что предмет методологии как науки принципиально отличен от предмета всех других конкретных наук; это – деятельность познания, мышление, или, если говорить более точно, вся деятельность человечества, включая сюда не только собственно познание, но и производство.
Можно сказать, что методология, на его взгляд, есть теория человеческой деятельности. Именно поэтому методологические знания могут служить руководством при поисках и выработке новых средств научного исследования: ведь они описывают и даже заранее проектируют ту деятельность, которую нужно для этого осуществить. По видимому, только теоретико познавательная точка зрения на методологию оправдывает ее выделение в качестве действительной науки.
Чтобы описать условия, в которых выделяются специфически методологические проблемы, рассмотрим в схематизированном виде особые ситуации, складывающиеся в ходе развития науки, – так называемые «антиномии», или «парадоксы». Их общая логическая схема может быть представлена очень просто. Определенный объект А, являющийся образцом и эталоном класса [объектов], анализируется сначала посредством процедуры Δ1 и выступает как обладающий свойством В; потом этот же объект анализируется посредством другой процедуры Δ2 и выступает как обладающий свойством не-B. При проверке обнаруживается, что процедуры выполнены правильно, что они обе в равной мере могут быть применены к этому объекту и при данном уровне развития науки не удается выявить того свойства в объекте, которое обусловливает столь странные результаты исследования. Таким образом, оба знания «A есть B» и «A есть не-B», полученные соответственно с помощью процедур Δ1 и Δ2, оказываются одинаково обоснованными и «правильными», и это создает особую ситуацию «разрыва» в развитии науки.
 
Уже в древнегреческий период была зафиксирована масса подобных ситуаций (они назывались «апориями») в самых различных науках – в математике, физике, философии. Например, записывался натуральный ряд чисел, в нем выделялись числа – «полные квадраты»; они сопоставлялись со всем рядом:

1 2 3 4 5 6 7 8 9 10 11 12 13 14 15 16 ...
1     4         9             16 ...

Совершенно очевидно, что при таком способе сопоставления, чем дальше мы будем двигаться по ряду, тем меньшим будет «вес» полных квадратов по сравнению со всеми другими числами. Из этого делали вывод, что число полных квадратов в ряду натуральных чисел меньше, чем число всех чисел. Но затем предлагался другой способ сопоставления: каждому числу натурального ряда ставился в соответствие его квадрат:

1 2 3 4 5 6 7 8 ...
1 4 9 16 25 36 49 64 ...

Было очевидно, что сколько бы мы ни двигались так по ряду, мы всегда сможем это сделать. Из этого делали вывод, что число полных квадратов в бесконечном ряду чисел не меньше числа всех чисел. Таким образом, применяя два различных способа рассуждения – и заметим: правильных с точки зрения существовавших тогда понятий, – мы приходим к двум различным, исключающим друг друга утверждениям.
Могут попробовать возразить, что эти утверждения не были правильными, так как к бесконечным множествам с точки зрения современной математики не могут применяться понятия «больше», «меньше», «равно», а должны применяться понятия «мощности» и связанные с ними процедуры сопоставления(86). Это правильно. Но мы знаем это сегодня, а когда этот вопрос встал и когда его обсуждали, начиная, по видимому, с Демокрита и вплоть до работ Г.Кантора, понятия мощности множества не существовало, и приходилось пользоваться теми понятиями, которые были.
Кроме того, даже и с этой модернизированной точки зрения нужно признать, что оба утверждения по поводу числа полных квадратов в ряду натуральных чисел находятся в совершенно равных условиях – оба являются одинаково ложными или одинаково истинными. Только это важно в контексте данного рассуждения: возникала ситуация, в которой два знания исключали друг друга и оба были одинаково правильными, и из этой ситуации нужно было выходить, создавая новые средства науки.
Чтобы снять возможное впечатление, будто парадоксальная ситуация возникает из за оперирования «трудным» и немного мистическим понятием бесконечности, разберем еще пример физического парадокса, выявленного Г.Галилеем примерно через две тысячи лет после появления разобранного выше математического парадокса. Различие между равномерными и переменными движениями стало известно людям уже давно. Но это было лишь наглядное, чувственное знание, не осмысленное в понятиях. Существовавший во времена Аристотеля чувственно непосредственный способ сопоставления движений, когда время фиксировалось как равное, а сравнивались одни лишь отрезки пройденного телами пути, не позволял выявить различие между равномерными и переменными движениями в виде понятия. И хотя в представлении древних понятие скорости было результатом и средством сопоставления движений вообще, независимо от их характера, по содержанию и по своему строению оно служило адекватным отражением только равномерных движений. Поэтому когда Галилей приступил к исследованию ускоренных движений, используя для этого понятие скорости, выраженное в формуле

v= s
__
t

то это привело его к логическому противоречию (антиномии). Так как часы, находившиеся в его распоряжении, несмотря на все произведенные усовершенствования, были все еще малопригодны для измерения небольших промежутков времени, Галилей решил замедлить исследуемые движения падения с помощью наклонных плоскостей, а это, в свою очередь, заставило его сопоставить между собой падение тел по вертикали и по наклонным.
Согласно определениям Аристотеля, из двух движущихся тел то имеет большую скорость, которое проходит за одно и то же время большее пространство, чем другое, или то же пространство, но за меньшее время. Соответственно, считалось, что два движущихся тела обладают одинаковой скоростью, если они проходят равные пространства в равные промежутки времени. Галилея эти определения уже не удовлетворяли. Выработанный им способ измерения времени позволил представить понятие скорости в виде математического отношения величин пути и времени.
С этой новой точки зрения ничего не изменится, если назвать скорости равными и тогда, «когда пройденные пространства находятся в таком же отношении, как и времена, в течение которых они пройдены» [Галилей, 1948, с. 34]. Поскольку Галилей уже «подвел» понятие скорости под более широкое понятие математического отношения, сделанный им переход был вполне законен. Равенство отношений

s1
__
=
t1

s2
__

t2

как при s1 = s,так и при s1 s, остается справедливым, если t1 и t2 меняются в той же пропорции, что и пути.
Итак, имеются два определения равенства скоростей двух движущихся тел. Первое: скорости двух тел равны, если за равные промежутки времени эти тела проходят равные пространства. Второе: скорости двух тел равны, если пространства, проходимые одним и другим, пропорциональны временам прохождения. Второе определение является обобщением первого. Имея эти два определения, Галилей приступил к сопоставлению конкретных случаев падения тел. Пусть по СВ и СA (см. рис.1) падают два одинаковых тела ([два шара]). Скорость тела, падающего по СВ, будет больше скорости тела, падающего по СA, ибо, как показывает опыт, в течение того времени, за которое первое падающее тело пройдет весь отрезок СВ, второе пройдет по наклонной СA часть СD, которая будет меньше СВ. Отсюда в соответствии с первым определением можно сделать вывод, что скорости тел, падающих по наклонной и по вертикали, не равны.
  Рис 1 Рис 2
 
PRISS-laboratory/ Виталий СААКОВ/ библиотека// Щедровицкий Г.П. На перекрестке мысли: Введение в системомыследеятельностный подход/// имеются два определения равенства скоростей двух движущихся тел. Первое: скорости двух тел равны, если за равные промежутки времени эти тела проходят равные пространства. Второе: скорости двух тел равны, если пространства, проходимые одним и другим, пропорциональны временам прохождения. Второе определение является обобщением первого. Имея эти два определения, Галилей приступил к сопоставлению конкретных случаев падения тел. Пусть по СВ и СA (см. рис.1) падают два одинаковых тела
© Г.П.Щедровицкий, 1979
PRISS-laboratory/ Виталий СААКОВ/ библиотека// Щедровицкий Г.П. На перекрестке мысли: Введение в системомыследеятельностный подход/// Антиномии, или парадоксы, возникающие в ходе развития науки, были взяты нами в качестве примера ситуаций, которые делают необходимой постановку собственно методологических задач. В этих ситуациях фактически формируется и выделяется та действительность, которая становится предметом методологии как науки. Эта действительность – деятельность по получению знаний(88). Мы можем изобразить ее строение в блок схеме (см. рис.2),
© Г.П.Щедровицкий, 1979
 
В то же время известное Галилею положение о том, что скорость падающих тел в какой либо точке зависит только от высоты их падения, наводит его на мысль, что раз скорости тел в точках А и В, расположенных на одной горизонтали, равны, то они должны быть и вообще равны на отрезках СА и СВ. Он проверяет это предположение на опыте, и действительно оказывается, что отношение времен падения по всей наклонной и по всей вертикали равно отношению длин наклонной и вертикали. Отсюда в соответствии со вторым определением можно сделать вывод, что скорости тел, падающих по наклонной и по вертикали, равны. Таким образом, следуя рассуждению Галилея, мы получили два противоречащих положения: 1) «скорости тел, падающих по СА и СВ, равны»; 2) «скорости тел, падающих по СА и СВ, не равны».
Причину выявленного Галилеем противоречия нельзя искать в произведенном им обобщении условий равенства скоростей. Если бы мы, пользуясь старым условием равенства скоростей, начали сопоставлять движения шаров по СА и СВ, беря отрезки проходимого пути в разных частях СА и СВ, то мы получили бы и при старом определении весьма противоречивые результаты. Скорость падения шара по СВ могла оказаться в одном месте больше скорости падения шара по СA, в другом – равной, в третьем – меньшей. Таким образом, рассмотренное развитие понятия скорости и обобщение условий равенства скоростей не являлись причиной противоречия, а были лишь случайными обстоятельствами, которые облегчили его обнаружение. Причина этого противоречия заключена в том, что понятие скорости, сложившееся из сопоставления равномерных движений и однозначно характеризовавшее эти движения, уже не подходит для сопоставления и однозначной характеристики движений неравномерных(87).
Подобные логические противоречия, или антиномии, можно часто встретить в истории науки. Оба положения, составляющие антиномию, в равной мере истинны и неистинны. Истинны в том смысле, что они оба действительны, если мы исходим из существовавшего в то время определенного строения исходного понятия. Неистинны в том смысле, что это строение понятия уже не может дать однозначной характеристики новых исследуемых явлений. Ситуации парадоксов, или антиномий, занимают особое положение в ходе развития науки. Прежде всего, в их контексте уже бессмысленно спрашивать: какому из имеющихся знаний соответствует объект – первому или второму? Он не соответствует ни одному из них, он отличен от обоих. Так, благодаря сопоставлению двух исключающих друг друга знаний, относимых к одному объекту, сам объект отделяется от знаний о нем и противопоставляется им как нечто третье, пока не познанное. По выражению Гегеля, сначала в понятии мы видели сам объект, теперь понятие как форма отделяется от объекта.
Это первый и, наверное, основной шаг в формировании теоретико познавательной точки зрения на мир. Выделение объекта как чего то отличного от того, что мы видим в знании, и сопоставление знаний друг с другом заставляет сделать следующий шаг и поставить вопрос: чем обусловлено это различие знаний? При ответе на этот вопрос выявляется следующий элемент предмета теории познания: процедуры получения знаний, процедуры познавательной деятельности. Именно в них находят ту причину, которая привела к различию знаний об объекте. Появление теоретико познавательной точки зрения делает возможным и собственно методологический подход в разработке средств науки.
Дело в том, что в каждой ситуации могут быть поставлены две разные задачи и в соответствии с этим как практическая, так и исследовательская деятельность могут идти по двум принципиально различным линиям и опираться на различные методы. В одном случае исследование будет направлено на преодоление именно этой, единичной антиномии, на выработку нового специального понятия, «снимающего» антиномию. В другом – оно может быть направлено на выяснение условий появления антиномий вообще (а не только этой единичной), на анализ путей и методов их преодоления, на выяснение структуры вновь получаемого знания в его отношении к прежним, антиномичным [знаниям]. В первом случае мы будем оставаться в рамках данной специальной науки, математики, физики или химии, будем пользоваться ее специфическими методами. И при этом каждая новая антиномия будет вставать перед нами такой же проблемой, как и предыдущая, и мы будем подходить к ее решению вооруженными так же, как мы были вооружены при решении первой. Наш опыт преодоления антиномий никак не будет осознаваться и не будет влиять на последующую деятельность. Во втором случае необходимо выйти за границы той или иной специальной науки и выделить совсем особый предмет рассмотрения – знания об объектах, процессы выработки и их использования. Здесь придется прибегнуть к совершенно иным методам исследования, выработать понятия принципиально иного рода, нежели понятия той или иной специальной науки; и это будут понятия методологии (в широком смысле этого слова, включая туда логику и теорию познания).
Антиномии, или парадоксы, возникающие в ходе развития науки, были взяты нами в качестве примера ситуаций, которые делают необходимой постановку собственно методологических задач. В этих ситуациях фактически формируется и выделяется та действительность, которая становится предметом методологии как науки. Эта действительность – деятельность по получению знаний(88). Мы можем изобразить ее строение в блок схеме (см. рис.2), если выделим и перечислим основные составляющие всякой деятельности. Специальный анализ показывает, что в любой акт познавательной деятельности обязательно входят: 1) задачи (или требования), 2) объекты, 3) средства, 4) формы знаний и 5) процедуры, создающие их.
Эту схему можно рассматривать как первое приближенное изображение предмета методологических исследований. Очень важно также подчеркнуть, что постановка вопроса об объекте как таковом, в отличие от «данности» его в той или иной форме знания, появляется впервые отнюдь не в специально научных исследованиях, как это обычно думают, а только в методологическом анализе. В специально научных исследованиях, где имеется одно или несколько легко соединимых друг с другом знаний об объекте, не возникает вопросов об объекте как таковом и нет нужды противопоставлять его знаниям. Мы уверены, что объект таков, каким он дан нам в этих «знаниях». Только в ситуациях антиномий и аналогичных им нам приходится выделять объект, ставить вопрос о его природе и стараться изобразить его как таковой, в форме, отличной от всех уже существующих о нем знаний(89). Поэтому именно методология и теория познания, как это ни странно на первый взгляд, оказываются учением об объектах и областях объектов, то есть обязательно включают в себя моделирующую мир онтологию(90).
Поэтому ошибочным является тезис, время от времени всплывающий в философской литературе, что де теория познания и логика являются наукой о деятельности и процессах познания, а не о мире. Это противопоставление неправомерно: она является наукой о деятельности познания и тем самым о мире, включенном и включаемом в нее. Само это противопоставление было обусловлено неправильным пониманием объективности – был забыт знаменитый тезис К.Маркса: «Главный недостаток всего предшествующего материализма – включая и фейербаховский – заключается в том, что предмет, действительность, чувственность берется только в форме объекта, или в форме созерцания, а не как человеческая чувственная деятельность, практика, не субъективно» [Маркс, 1955, с. 1].
Но это представление объектов в методологии существенно отличается от их представления в специальных науках: оно создается как изображение их «высшей» объективности, освобожденной от частной формы тех или иных специальных задач. По этой же причине методологическая онтология не имеет ничего общего с натурфилософией: она существует в системе методологии и создается не на основе анализа физической, химической или какой либо иной эмпирии, а на основе анализа человеческой деятельности – производства (практики) и мышления. Таким образом, переходя в область методологического исследования, мы формируем совершенно особый предмет, который не совпадает с предметом ни одной частной науки. И мы можем исследовать и описывать этот предмет только с помощью особых методов, не сводимых к методам специальных наук.
 
О том, что это утверждение не является общепризнанным, что вокруг него сейчас еще идет борьба, говорит хотя бы широко распространенный и принятый многими тезис Д.Гильберта, что обоснование математики есть дело самой математики(91). И не только математики, но и представители многих других наук разделяют и поддерживают тезис, что методологию специальных наук должны разрабатывать представители самих этих наук. Поэтому, формулируя положение, что методология науки имеет свой особый предмет и использует свои особые методы – только в этом случае она будет действительной наукой, – мы противопоставляем его положению, что методологические проблемы каждой науки могут решаться методами самой этой науки.

На наш взгляд, торжество такого подхода приводило всегда только к уничтожению самой методологии как науки. И то, что его нередко принимали, объясняется лишь одним – тем, что он избавлял от необходимости разрабатывать особые методы методологии науки. Отвергая этот тезис, мы сталкиваемся с этой проблемой во всей ее остроте: что представляют собой и какими должны быть основные средства методологии или теории деятельности?  
 
  Системно структурный подход в анализе и описании эволюции мышления(92)  
1. На уровне непосредственного восприятия и практики общения «мышление» существует в виде бесконечного множества отдельных актов мысли и создаваемых ими организованностей – знаний, моделей, фактов, проблем, категорий и т. п. Каждый такой акт и каждая организованность представляют собой самостоятельное явление, и все они настолько отличаются друг от друга как в содержании, так и в форме, что нет и не может быть никакой среднетипической модели, которая могла бы рассматриваться как образец мышления. Но что тогда позволяет нам относить все эти явления к «мышлению»? И что мы имеем в виду, когда говорим о «мышлении»?
Попытки ответить на этот вопрос привели в конце концов к специфическим схемам, объединяющим «синтагматические цепочки» и «парадигматические системы». Лингвистика проложила здесь путь, и он дался ей нелегко, но сейчас наступило время, когда эти схемы стали использовать также при описании мышления, и было понятно, что таким образом устроено все, что принадлежит к человеческой деятельности. Разрешив одну проблему, схема «синтагматика – парадигматика» породила ряд других. Как соединить эту схему устройства объекта с представлениями об историческом развитии мышления? Каждый синтагматический акт и каждая синтагматическая организованность лишь осуществляются, реализуя одну или несколько парадигматических форм; они в принципе не могут развиваться и порождать новые синтагматические и парадигматические организованности.
Поэтому развитие стали искать в парадигматических системах, хотя само это допущение во многом противоречило представлениям о функциях и назначении парадигматики. Но что, с одной стороны, может быть источником и причиной развития парадигматики и по каким законам, с другой стороны, происходят сами изменения?

2. В ответах на эти два вопроса исследование пошло разными путями. Чтобы ответить на вопрос о законах развития парадигматики, сравнивали последовательные исторические состояния каких то ее элементов и единиц, моделировали их в структурных схемах и затем искали конструктивные правила, переводящие модель из одного состояния в другое. И хотя при этом стремились, конечно, к тому, чтобы максимально имитировать исторические изменения парадигматики, подлинной целью работы всегда было лишь получение некоторых норм или проектов развития, превращавших частные варианты мышления в общий социальный стандарт. В ответах на вопрос о причинах и источниках развития парадигматики сразу же выявились два подхода: «искусственный» и «естественный». Представители первого рассматривали систему парадигматики в качестве сознательного творения. Представители второго могли искать источники изменений либо в самой парадигматике, либо в экстрапарадигматических факторах, в частности – в синтагматических цепочках и их влиянии на парадигматику. Именно в этом контексте синтагматику начали рассматривать не только как реализацию парадигматических схем, но и как источник инноваций.
Однако сама апелляция к синтагматике и происходящим в ней изменениям оставалась чисто словесным трюком, пока не удавалось объяснить, каким образом новообразования, появляющиеся в синтагматике естественно и случайно, переходят затем в систему парадигматики.

3. Решение, казалось, было найдено, когда для объяснения этого перехода стали использовать схемы кооперации и механизм рефлексивного осознания. Получилась довольно стройная объяснительная картина, но она долгое время служила лишь для обоснования самой возможности исторического развития мышления, а не для выявления и описания механизмов появления инноваций и их оформления в парадигматических системах мышления. Метод описания развития парадигматических организованностей был дополнен лишь анализом синтагматических ситуаций деятельности и возникавших в них «разрывов», которые задавали функциональные требования к новообразованию, а все остальное – конструирование новой парадигматической организованности и выявление формальных правил получения ее из предыдущей – делалось точно так же, как раньше, без всякого анализа и описания реального механизма кооперированной деятельности и создаваемых ею содержаний (см. рис.1).
  Рис 1  
 
PRISS-laboratory/ Виталий СААКОВ/ библиотека// Щедровицкий Г.П. На перекрестке мысли: Введение в системомыследеятельностный подход/// Метод описания развития парадигматических организованностей был дополнен лишь анализом синтагматических ситуаций деятельности и возникавших в них «разрывов», которые задавали функциональные требования к новообразованию, а все остальное – конструирование новой парадигматической организованности и выявление формальных правил получения ее из предыдущей – делалось точно так же, как раньше, без всякого анализа и описания реального механизма кооперированной деятельности и создаваемых ею содержаний (см. рис.1).
© Г.П.Щедровицкий, 1979
 
 
При этом синтагматическое новообразование и оформляющая его парадигматическая организованность фактически отождествлялись. И это, с одной стороны, было залогом успешности и продуктивности нормативного конструирования модели и правил развития, а с другой – делало ненужным детальный анализ его подлинных деятельностных механизмов. В силу этого, естественно, не вставал вопрос, как относятся друг к другу (и в каких категориях должны быть описаны) новообразования мышления, возникающие в синтагматике, и оформляющие их парадигматические организованности.

4. Грубо говоря, вопрос заключается в том, можем ли мы называть мышлением то, что возникает впервые в синтагматике и, следовательно, еще не нормировано (а значит, и не принадлежит пока к системе мышления), но будет нормировано ближайшим шагом деятельностного механизма и, следовательно, войдет в систему мышления, станет мышлением. С точки зрения обычных представлений это типично парадоксальная ситуация. И традиционное понятие системы (совокупность связанных между собой элементов, образующая целостность) не может здесь помочь. Поэтому приходится прибегать к новому понятию системы, сформированному специально для описания деятельности и процессов ее развития.
Системное изображение объекта с новой точки зрения обязательно должно содержать четыре слоя представлений – процессов, функциональных структур, организованностей материала и морфологии(93).

Последний слой, в свою очередь, содержит процессы, функциональные структуры и организованности материала, но уже другого типа, нежели первые, и они тоже входят в систему, но на иных правах, в другом качестве. Между собственно системными и морфологическими представлениями объекта существуют свои сложные отношения и связи, и последние точно так же должны формироваться исторически.
Используя новое понятие системы, мы можем без труда ответить на поставленный выше вопрос: то, что впервые возникает в синтагматике и проходит затем этап оформления в парадигматических организованностях, представляет собой морфологию мышления. Составляющие ее процессы, структуры и организованности ассимилируются кооперативно рефлексивным механизмом деятельности и за счет этого переводятся в собственные организованности, структуры и процессы мыслительной деятельности, транслируемой из поколения в поколение. А весь этот процесс ассимиляции морфологии и рефлексивного отображения ее в парадигматических системах является важной и типичной формой становления мыслительной деятельности.
С определенной точки зрения процесс становления можно рассматривать как компоненту процессов изменения и развития парадигматических организованностей. Но при другом подходе, наоборот, процесс изменения парадигматических организованностей выступит как компонента и средство внутри процессов становления мыслительной деятельности.

5. Последнее представление становится особенно важным и приобретает более широкий смысл, когда от исследования отдельных синтагматических актов и парадигматических организованностей мы переходим к исследованию всей сферы мышления. Она содержит достаточно много относительно автономных парадигматических систем, каждая из которых, с одной стороны, развивается по своей особой имманентной линии, а с другой – непрерывно рефлексивно отображает и ассимилирует другие системы; и каждая из этих систем в любой момент может стать материалом ассимиляции и, следовательно, морфологией для какого то нового, еще только становящегося мышления. И если мы берем сферу в целом, то основными и ведущими, захватывающими и подчиняющими себе все остальное оказываются именно эти процессы, создающие линию эволюции мышления, а не процессы развития отдельных парадигматических организованностей; последние в этом случае выступают в роли отдельных составляющих процесса эволюции мышления.

6. Особая связь и координация всех этих процессов – эволюции, развития и становления, – существующая на механизме воспроизводства деятельности и благодаря ему, создает сферу мышления как единое историческое целое, а вместе с тем задает и конституирует то, что мы называем «мышлением», мышлением вообще, в его отличии от отдельных актов мысли и отдельных организованностей мышления, как бы плывущих в едином историческом потоке внутри сферы мышления.
 
  Проблемы организации исследований: от теоретико мыслительной к оргдеятельностной методологии анализа(94)  
Основная цель и задача работы – проследить в общих эскизных чертах развитие идей Московского методологического кружка, или концепции, которая в 1950 е годы называлась концепцией содержательно генетической логики (это выражение часто употребляется по старой памяти, хотя мы сами предпочитаем так уже не говорить; я постараюсь пояснить, почему и как это произошло в результате эволюции наших идей). Эта концепция, которая теперь характеризуется как методологический подход с установкой на методологическую организацию мышления и деятельности, еще иногда называется системно деятельностный подход и включает в качестве некоторых составляющих то, что мы сейчас называем, с одной стороны, нормативно деятельностным подходом, а с другой – теоретико деятельностным подходом. Причем все эти понятия, а именно: системно деятельностный подход, нормативно деятельностный подход и теоретико деятельностный подход – это разные понятия, фиксирующие разные моменты.
Понятие теория деятельности отличается от всех названных выше (системно деятельностного, нормативно деятельностного, теоретико деятельностного подходов), это совсем иное, и отличается от методологического подхода, методологической организации. Это не синонимы, а разные понятия, которые фиксируют разные моменты сложной агломерации. Каждый из этих моментов может выделяться, давая основания для своего собственного подхода, своей линии исследований. Итак, я постараюсь проследить основные линии эволюции идей, наметить самые узловые, переломные точки, с тем чтобы как то разобраться во всей этой эволюционирующей системе.
Всю историю наших исследований можно разделить на три больших периода.
Первый период, начиная с 1952 года, может быть в общем и целом охарактеризован как период теоретико мыслительных исследований, или исследований по содержательно генетической логике, хотя идея содержательно генетической логики и сам этот термин возникли не в 1952 году, а в 1958-1959 годах.
Второй период, который начинался с 1960-1963 годов, – это был большой перелом и продолжался до 1971-1972 годов – может быть назван теоретико деятельностным.
Третий период начался в 1971-1972 годах и связан с появлением такого понятия как организационно деятельностный подход, и это понятие является сейчас для нас основным. Теперь я поясню графику схемы (см. рис.1).
  Рис 1 Рис. 2
 
PRISS-laboratory/ Виталий СААКОВ/ библиотека// Щедровицкий Г.П. На перекрестке мысли: Введение в системомыследеятельностный подход/// Всю историю наших исследований можно разделить на три больших периода. Первый период, начиная с 1952 года, может быть в общем и целом охарактеризован как период теоретико мыслительных исследований, или исследований по содержательно генетической логике, хотя идея содержательно генетической логики и сам этот термин возникли не в 1952 году, а в 1958-1959 годах. Второй период, который начинался с 1960-1963 годов, – это был большой перелом и продолжался до 1971-1972 годов – может быть назван теоретико деятельностным. Третий период начался в 1971-1972 годах и связан с появлением такого понятия как организационно деятельностный подход, и это понятие является сейчас для нас основным. Теперь я поясню графику схемы (см. рис.1).
© Г.П.Щедровицкий, 1979
PRISS-laboratory/ Виталий СААКОВ/ библиотека// Щедровицкий Г.П. На перекрестке мысли: Введение в системомыследеятельностный подход///В чем же состояла эта основная онтологическая картина? Первая основная идея, которую мы сформулировали в 1953-1954 годах, состояла в том, что основу, сердцевину мышления составляет замещение знаками поля практических действий и операций с объектами знаками и работой со знаками. Поэтому первое онтологическое определение состояло в том, что мышление – это работа со знаками, замещающими поле объектов (см. рис.2).
© Г.П.Щедровицкий, 1979
 
На первом этапе (внутри имеются подэтапы, о которых я не говорю) мы занимались теоретико деятельностными мыслительными исследованиями, категория деятельности не использовалась в качестве объяснительной, предельной категории. После 1960–1963 годов деятельность становится основным предметом исследования, в этом направлении концентрируются основные усилия, исследования по мышлению продолжаются, а потом резко спадают где то около 1967 года, исследования деятельности резко возрастают. Где то на рубеже 1965–1966 годов начинают формироваться идеи организационного подхода, которые становятся основными, они захватывают всю эту область и подчиняют ее, а вместе с тем дают нам возможность решить вопрос о соотношении мышления и деятельности и начать соединять их.
И тогда опять исследования мышления начинают интенсивно расти. Мы возвращаемся как бы к проблематике мышления, начинаем развертывать ее все больше и больше, но теперь уже, во первых, в контексте деятельности, деятельностных исследований (то есть мы рассматривали мышление не само по себе), а во вторых, в контексте организации, организационных форм и т.д. Вот я представил как бы в самом общем и грубом виде основные этапы развития наших идей. Эта характеристика является в общем и целом интегральной и охватывающей основные результаты.
Теперь, имея в виду, с одной стороны, эту схему и это пространство, а с другой – схему организации жизни задач, я буду обсуждать все дальнейшее поэтапно, намечая основные линии переломов и характеризуя каждый этап. При этом я буду пользоваться довольно сложной и разветвленной системой методологических понятий, которые выступают как шаблон, или таблицы, в моем анализе. Я не могу сейчас все это систематически вводить, лишь поясню (просто чтобы было понятно, о чем идет речь) весьма фрагментарно. Например, я буду пользоваться представлениями о научном предмете, который мы разрабатывали в других частях онтологии. В научном предмете есть такие образования как онтология, или онтологическая картина, факты или материал, средства и метод, теоретические знания, проблемы и т.д. Я беру эту схему как таблицу и буду обсуждать вопросы: какие цели и задачи перед нами стояли, какие проблемы мы при этом выделяли, какой онтологической картиной пользовались, какие у нас были средства, как выделялись категории, что получалось на выходе? Я буду протаскивать это через периоды, показывать, как по этим составляющим менялись наши представления. У меня есть некоторый набор основных узлов, понятий, характеризующих мышление и деятельность. Я беру эти представления как средства для организации своей собственной работы и для изложения. По этим табличкам, используя их как «разборные ящики», я буду характеризовать основные моменты и этапы изменения наших представлений.
1. Наша работа с самого начала, то есть с 1952 года, была методологической по своей направленности. Что это значит? Это значит, что мы рассматривали себя как методологов естественных и гуманитарных в первую очередь, социальных наук, методологов, призванных на основе анализа прошлого опыта наук (естественных, гуманитарных и социальных) сформировать средства и методы для постановки и решения научных проблем. При этом с самого начала мы рассматривали такую методологию как общую, охватывающую самые разные науки, ибо, с нашей точки зрения, смысл методологии состоит в том, чтобы переносить средства и методы из одних наук в другие. Если, скажем, мы полагаем (а мы так и полагали), что естественные науки развиты в смысле средств и методов больше, чем гуманитарные, социальные, антропологические науки, то, значит, надо было проанализировать мышление, средства и методы в естественных, физико математических науках, чтобы выделить все то, что может быть использовано для развития социальных, гуманитарных, антропологических наук. Итак, методологическая установка задается этими двумя ситуациями: прошлой и будущей. Это – первый момент.

2. Мы тогда, на этом первом этапе, ставя перед собой методологические задачи, плохо представляли разницу между методологией и наукой. Мы исходили из гегелевских идей, которые мы сейчас считаем кардинально ложными и даже вредными, идей о том, что собственно научно теоретическая и еще более научно философская форма спекулятивной теории является высшей формой человеческого мышления, знания, организации, поэтому, по сути дела, все должно быть организовано в форме научных теорий. На этом этапе мы мыслили логику как науку. (В этом был смысл, между прочим, работ Гегеля. «Наука логики» – написал он на своем фундаментальном труде, и уже в самом этом названии была заключена революция, потому что никто раньше логику как науку не рассматривал. Этот переворот совершил Гегель.)
Мы верили тогда в эту идею. Мы думали, что надо, решая методологические задачи, прежде всего научно технически описать прошлый опыт человеческого мышления, и, получив такие научно технические знания, мы сможем их потом использовать в качестве методологии. Поэтому наш методологический подход, по сути дела, сливался с научно теоретическим подходом. Тогда основная задача разработки методологии, с нашей точки зрения, заключалась в том, чтобы научно теоретически описать мышление, то есть построить теорию мышления, и эта теория мышления будет одновременно и логикой, и диалектикой и т.д.
Опыт показал, что эта идея была ложной и абсолютно неосуществимой. И практика нашей собственной работы непрерывно нас самих опровергала, потому что говорили мы одно, а делали совсем другое.
Счастье наше заключалось в том, что мы это с какого то момента поняли. Но поняв это, мы стали ориентироваться не на то, что мы говорили по традиции, а на реальную практику нашей работы. И это позволило сделать дальнейшие шаги. Итак, мы понимали разработку методологии как разработку наук, теорий, в частности теории мышления.
Поэтому все это одно с другим складывалось, склеивалось. Логику мы понимали тоже как теорию мышления и считали, что теория мышления есть в этом смысле логика. И это была основная наша установка, хотя методологические ориентиры все время были. Поэтому у нас был такой странный крен, который непрерывно разваливался, порождая все новые и новые проблемы.

3. В итоге решение задач мы рассматривали с точки зрения разработки теории мышления и методологии(95). В этом плане наша позиция напоминала позицию последователей П.Я.Гальперина: нас вообще задачи и их решения не интересуют как таковые, и вообще задачи и их решения не могут быть предметом теоретического подхода в том смысле, что не может быть никакой теории задач, никакой «задачелогии», «проблемологии», а должна быть «теория психики», «психологическая ориентировка».
Примерно так же рассуждали и мы. Мы говорили, что должна быть теория мышления, рассматривающая разнообразные формы мышления, а задачи – это только один вид такого мышления. Мы знаем, что кроме задач есть еще такие образования как рассуждения, которые не всегда есть решения задач (например, доказательство теорем), спор, который несет важные, может быть, определяющие моменты мышления, но это не есть решение задач. Решение задач представляло собой одну частную форму, выступая как частная группировка материала. Мы исследовали задачи и их решения не для того, чтобы построить теорию решения задач, а для того, чтобы построить теорию мышления. Но при этом мы с самого начала в эмпирической организации материала четко выделяли задачи, теории (которые тоже несли в себе особые моменты) и т.д., но все это рассматривали с точки зрения общей теории мышления.

4. Нам нужно было, с одной стороны, общее онтологическое представление о мышлении, а с другой – определенный набор категорий, описывающих это мышление, в том числе и решение задач. Хотя мы с самого начала понимали, что решение задач есть частный случай мышления, но при перечислении разных видов и типов мышления мы ограничивались всегда познающим, или научно исследовательским мышлением. Поэтому мышление мы тогда определяли как выработку знаний, или как процесс, приводящий к получению новых знаний. Для нас и решение задачи тоже выступало в превратном виде, потому что мы думали, что суть решения задачи состоит в получении знания или проблемы. А это, по видимому, не так.
В чем же состояла эта основная онтологическая картина? Первая основная идея, которую мы сформулировали в 1953-1954 годах, состояла в том, что основу, сердцевину мышления составляет замещение знаками поля практических действий и операций с объектами знаками и работой со знаками. Поэтому первое онтологическое определение состояло в том, что мышление – это работа со знаками, замещающими поле объектов (см. рис.2). Так в общем виде выступало для нас мышление.
 
Левая полустрелка символизирует замещение, правая – отнесение, возврат к объекту. Эта схема задает принцип выделения единиц измерения. Мы считаем единицей мышления (причем, полной единицей – у нас тогда же появилось важное различение полных и усеченных единиц) только полный цикл и, следовательно, как бы замыкающий через работу со знаками переход от к ΔY. Это было, следовательно, опосредованное преобразование объекта. Такая онтологическая картина сразу привела нас к резкому противоречию (причем сама эта картина снимала дискуссии, проходившие в 1952-1954 годах на философском факультете МГУ(96)), а именно: к противопоставлению процессуальности и структурности мышления. Тогда мы еще не знали о работах К.Дункера, который это уже зафиксировал. Мы плохо представляли себе историю философии. Мы выдумывали это сами, исходя из той ситуации, в которой находились, потому что ретроспективная работа назад в культуру есть всегда последующая работа в процессе человеческого самоопределения.
Сначала человек начинает решать дискуссионные вопросы, которые ставятся в его кругу, ищет какие то решения проектно, конструктивно, потом он узнает, что, оказывается, эту проблему ставили и 2500 лет назад, что было много мнений, что ее даже, может быть, уже сняли 1000 лет назад или заменили другими. Все это появляется потом. Тогда шли дискуссии, в которых на примере «Капитала» К.Маркса (как образцового произведения) или работ Л.Эйлера обсуждались проблемы перехода от текста, который представляет мышление, к мышлению. Но для того, чтобы от текста перейти к мышлению, начать выделять мыслительные единицы, мы должны прежде всего знать их категориальную характеристику, знать, что это такое: процессуальность или структурность. В такой парадоксальной форме этот вопрос обсуждался на философском факультете: «Капитал» Маркса – это что – изображение буржуазных производственных отношений или фиксация процедур и процессов мысли Маркса? В зависимости от того, как вы ответите на этот вопрос, у вас получаются совершенно разные трактовки мышления и появляются принципиально разные представления.
Эта схема (см. рис.2) снимала эти противоречия, поскольку мы рисовали одну схему, а интерпретировать ее начинали двояко. Двигая палец по этой схеме, мы говорили: такова структура мышления, оно статически здесь дано и представлено как одно. Чтобы как то зафиксировать двусмысленность таких употреблений, мы различили две формы существования мышления, а именно: форму в виде процессов и форму в виде структур. Мы говорили, что эти структуры суть знания, понятия и т.д. Поэтому это фактически есть структура нашего знания.
Мы, таким образом, соединили две категории, которые раньше не соединялись, причем соединили их на одних и тех же схемах. По сути дела, эти две категории задавали формы понимания, формы интенциональной интерпретации одной и той же структуры. Но дальше все это расходилось, потому что если речь идет о процессе, то надо выделять единицы, а именно: процедуры, операции, писать алфавит операций, и тогда, между прочим, все это (то есть то, что я нарисовал) предстанет совсем в другом виде, как, скажем, Δ1, Δ2, Δ3 – последовательность разных операций мышления. С другой стороны, если мы это рассматриваем как знание и работаем в категории структуры, то здесь действуют принципиально иные категориальные принципы и прежде всего принципы целостности и нецелостности.
Это важные и принципиальные вещи. (Я, к сожалению, вынужден обсуждать это бегло, но за всем этим стоят гигантские проблемы, масса работ, многолетние дискуссии и большой труд с потом и слезами.) Здесь возникал разрыв. Мы его сняли много позднее в понятии система. А сначала были эти две интерпретации: мы одни и те же схемы (что очень важно) толковали, с одной стороны, как процессуальные, с другой – как структурные. И дальше они развертывались принципиально иначе в разных рядах схем.

5. Следующий момент, который тоже очень важен, касается понятия замещения. Тогда мы начинали строить схемы замещения, задавая вроде бы объект непосредственного практического оперирования. Но это совсем не тот объект, который фигурирует в схеме S O [субъект – объект]. Это объект оперирования и в этом смысле – предмет. И мы эту часть называли объективным содержанием. Мы вводили понятия знаковой формы и содержания, понятие объективного содержания. Объективное содержание – это объект, включенный в определенные оперирования и неотрывный от оперирования, и, в этом смысле, это – предмет, по Марксу. Хотя мы стали называть все это предметом, поскольку не было объектов, с которыми мы не проводили бы подобных операций, которые не подводились бы под те или иные знаки, понятия, общие формальные знания и т.д.
И мы целиком отвергли схему S O. К этому нас привела гигантская историческая традиция. Мы дальше могли только объяснять, почему мы не пользуемся этой схемой, но не доказывать. Огромное число современных исследований построено по этой схеме. Но я утверждаю, что теория мышления в нашей трактовке и теория деятельности в нашей трактовке направлены против этой схемы. Мы ее не признаем как онтологическое основание нашей работы.
Очень коротко: в чем смысл этого исторического процесса? Весь эмпиризм и рационализм XVII-XVIII века исходил из этой схемы – от Локка до Канта. Кант показал, что если мы исходим из схемы S-O, то единственный последовательный путь – признать существование априорных идей. Никакого другого решения на этом пути не было предложено, то есть решения, сколько нибудь выдерживающего логическую критику. И поэтому Фихте сказал, что сама эта постановка вопроса является ложной: человек не получает знаний, взаимодействуя с объектом. Человек есть член общества, и знания получаются не в результате столкновения его с объектом, а в результате филиации идей.
И дальше, вплоть до Поппера, эта линия обсуждается в этой традиции Шеллингом, Гегелем, Марксом и т.д. – они все приняли эту фихтевскую критику. И даже неокантианцы Наторп и Виндельбанд принципиально разворачивали кантовские представления, уже отказавшись от схемы S O. Эти направления называются поэтому методологическими. Значит, все это получается на самом деле, как мы представляем себе, в результате сложного процесса проверки идей и понятий на материале и через материал и возврата назад и т.д. Все то, что мы считали марксизмом, с моей точки зрения (я не буду говорить, что мое понимание истинно и т.д.), и есть дальнейшее продолжение этого круга идей. Маркс начисто отрицал схему S O, и вся суть его работ состояла в том, чтобы низвергнуть это представление, отсюда и его «Тезисы о Фейербахе»(97).
Поэтому мы исходили из такого понимания истории, считая этот вопрос решенным в марксизме. Нам только важно было теперь объяснить, как это происходит. И мы зафиксировали двойное отношение, которое я представил на схеме (см. рис.2). Причем записали таким образом схематически оба момента, которые фиксировал Маркс, а именно: то, что мы, включая объект в определенную систему практического действия, оперирования, затем замещаем наше практическое действие, наше оперирование с объектами (не объекты, обратите внимание, а наше оперирование с объектами) знаками. Потом мы оперирование со знаками можем заменять другими знаками. Оперирование знаками третьей плоскости мы можем заменить знаками четвертой плоскости и т.д. Мы можем, соответственно, спускаться вниз, реализуя наши идеальные представления, содержание, фиксируемое в знаковых формах, снова переводить в оперирование, то есть строить оперирование с объектами, которое определяется не природой, а нашими представлениями.
  Рис. 3
 
PRISS-laboratory/ Виталий СААКОВ/ библиотека// Щедровицкий Г.П. На перекрестке мысли: Введение в системомыследеятельностный подход/// В столкновении с объектом мы либо получаем нужные продукты, либо не получаем. Так и начинается вся работа, и она идет в знаковом замещении. Процесс познания, как и процесс проектирования и другие, неразрывно и непрерывно связан с объектом. Мы вводим совершенно другие, «матрешечные» схемы. Мы говорим: вот есть деятельность и внутри нее объект (см. рис.3).
© Г.П.Щедровицкий, 1979
 
Здесь реализована идея Маркса о том, что то, что сегодня выступает как материя и материал, есть лишь реализация наших собственных идей. Наша основная идея состояла в том, что происходит замещение объектов знаками, знаковыми формами, работой в знаковых формах, которая была невозможна на уровне объектов, и возврат назад как бы с новой схемой, новой формой самого объекта, которая на объекте не может быть получена. Здесь основной пункт наших столкновений с П.Я.Гальпериным и основание нашей критики.

6. Следующая проблема опять проходит через эту историю. Как оперирование соединяется с объектом? Я утверждаю: природа человеческих операций, действий проистекает не из объектов. Человеческие действия, операции имманентны, это есть деятельность в операциональном, процедурном плане, и вывести операции, действия из объектов в принципе нельзя. Поэтому вопрос о том, как соединяются, сочленяются операции с объектами, образуя гетерогенное, то есть разнообразное образование, мы называем объектно операциональным содержанием. Эта связка операций с объектом является искусственной, а не естественной. Когда мы применяем к объекту те или иные операции, либо нам удается что то сделать, то есть нам сопутствует удача, либо мы получаем «граблями в лоб», и тогда начинается обратный процесс, кстати, вызывающий рефлексию и т.д. Это же все подтверждается гигантским материалом.
Мы начинаем, совершив это действие, думать, почему мы ошиблись, почему объект действует иначе, почему нам не удалось достичь своих целей, и за счет этого начинаем (в сложной процедуре анализа ошибок) формирование новых схем, новых представлений об объекте, которое идет вне объекта и помимо объекта только на основании того, что он «вырвался» у нас из рук. В столкновении с объектом мы либо получаем нужные продукты, либо не получаем. Так и начинается вся работа, и она идет в знаковом замещении. Процесс познания, как и процесс проектирования и другие, неразрывно и непрерывно связан с объектом. Мы вводим совершенно другие, «матрешечные» схемы. Мы говорим: вот есть деятельность и внутри нее объект (см. рис.3).
И объект для нас есть не то, что противостоит деятельности, а то, что во всех его формах, объектной организации и т.д. есть элемент деятельности. При этом он, с одной стороны, включен в практические операции, с другой – зафиксирован в замещающих его схемах, которые, в свою очередь, включены в операции и т.д., а кроме того, отражены в сознании. Что же отражается в сознании? В сознании отражается только деятельность человека, и в рефлексии только деятельность ‹…›.
Таким образом, получилась наша собственная сложная исследовательская машина, где решение задач составляло маленький кусочек материала. Мы исследовали это не для того, чтобы ответить на вопрос, как решаются задачи, а для того, чтобы ответить на вопрос, что есть мышление, как оно развертывается. Надо было в соответствии с этими представлениями построить, во первых, все основные типы схем замещения и оперирования, задать типологию объективных содержаний, теорию категорий диалектической логики. Надо было посмотреть, как осуществляются замещения и отнесения. Причем мы через эти замещения и отнесения вводили понятие содержательного мышления. Мы называли формальным мышлением фактически фрагмент реального мышления, тот фрагмент, когда мы оперируем только знаками (если идут вертикальные связи – это опять содержательное мышление).
Мы считали, что основное – в том числе и при решении задач – есть эти отношения замещения и отнесения. Что значит научиться решать задачи? Это значит научиться производить замещения практического оперирования с объектами соответствующими знаками, или соответствующим языком, или соответствующей оперативной системой, проделать движение в ней и суметь вернуться назад. Для нас суть мышления в этих отношениях замещения и обратных отнесений знаков к объекту, то есть суть в интенциональных отношениях. Поэтому наши представления о мышлении и логике могли бы быть еще названы интенциональными. В этом смысле в схеме на схеме рис.2 выражена не операциональность, потому что не в операциях выражается интенциональность. Интенциональность есть момент, который привносит механизм сознания.
Когда мы переходили к операционально процессуальному (а это значит к процедурно операциональному) представлению мышления, тут задача стояла совсем другая, и она была выражена в программной статье «О возможных путях исследования мышления как деятельности»(98), написанной в 1955 году. Важно было получить перечень операций или их наборы, дать все эти перечни, и тогда в этой странной теории мышления должны были фиксироваться принципы построения (см. рис. 2) замещающих структур, типология объектов, тип знаков и еще типология операций и правила организации их в сложные процессы и процедуры. В этом, грубо говоря, состоял смысл этой программы, и она еще два раза в уточненной форме была повторена: в статье «О различии исходных понятий формальной и содержательной логик» и в резюмирующей статье «О принципах анализа объективной структуры мыслительной деятельности на основе понятий содержательно генетической логики»(99).
Что мы в этом плане делали? Первоначально, начиная с 1954-1955 года, мы работали в рамках методологии и теории мышления. Эти исследования были методологическими, а не педагогическими, не психологическими. Применение непосредственно к задачам было сделано в работе, которая называлась «Опыт анализа сложного рассуждения, содержащего решение математической задачи»(100). В принципе, мы первоначально задачами не занимались, поскольку нас интересовала наука и методология науки. Мы рассматривали проблемы, а это не то, что задачи. Есть научные проблемы, а есть задачи, которые могут быть учебными и научными. Мы обсуждали прежде всего решение проблем. Например, доказательство тоже могло быть решением проблемы, если она ставилась как проблема доказать что то или выяснить то то и то то.
Но, кроме того, в науке были задачи, и нами была взята одна такая задача, которую решал Аристарх Самосский. Он хотел ответить на вопрос: каково отношение расстояний «Земля – Солнце» и «Земля – Луна»? Ответ нужно было получить в условиях, когда тригонометрии не было практически (он ее создавал), были геометрические средства, не было телескопов и прочее. Ему надо было работать путем чистого замещения (он ничего мерить не мог), он должен был построить сложную модель и на ней все это рассчитать. Это была задача, причем, ответ на вопрос, каково отношение расстояний «Земля – Солнце» и «Земля – Луна» для теоретической науки, для развития ее понятий имел лишь косвенное значение – в той мере, в какой он развивал ее средства. Поэтому это была не научная проблема, не проблема построения нового понятия. Надо было дать ответ на вопрос в простых численных значениях, каково соотношение расстояний. Нам же надо было проделать большую реконструирующую работу и ответить на вопрос, как решается эта задача.
В первом варианте эта работа занимала около 200 страниц, в расширенном варианте в ней около 600 страниц и еще порядка 1000 страниц дискуссий на эту тему. Эта работа стала одной из первых, которые обсуждались на Комиссии по логике и психологии мышления. Комиссия была создана в марте 1958 года, а в 1959 году началась дискуссия по этой работе, в которой принимали участие М.С.Шехтер, В.В.Давыдов, А.М.Матюшкин и другие. На этом материале были отработаны практически все различения – оперативные системы, теоретические системы, включение их в процесс решения задач и т.д. Что же было результатом этих исследований? Было показано, что процесс рассуждения при решении задач не может быть представлен в виде линейного процесса.
 
Практически мы получили следующее: если изображать процесс решения задачи, то всегда там надо различить – и это было очень важно – процесс решения задачи и процесс решания задачи. Решение задачи есть продукт весьма своеобразный; процесс решения задачи всегда дает два продукта: с одной стороны – ответ, а с другой – решение как таковое. И они очень четко раскладываются. Решение есть линейно организованная цепь операций, которая дает возможность начать вычисления и прийти к ответу.
А если говорить о процессе решания, то он никогда не может быть выстроен в линейный процесс, а представляет собой сложную связку процессов, причем структура этого процесса может быть самой разнообразной в зависимости от того, какими средствами пользоваться. При этом выяснилось и было показано на материале истории науки, что длинные и сложные ветвящиеся квазипроцессы, или псевдопроцессы, непрерывно свертываются в крупные блоки и в дальнейшем вводятся новые знаковые средства и схемы, которые трансформируют и меняют все это, и в зависимости от этого протекает процесс решания. Дело не в способностях, качествах, которые в одних случаях оказываются положительными для решения, в других отрицательными. И поэтому, кстати, при решении задач совершенно не имеет никакого смысла психологическое исследование традиционного плана. Потому что, что вы там всегда будете исследовать то, что было в этот раз и не может быть перенесено на другие случаи, оно никогда не повторится. В этом смысле все эти процессы предельно индивидуальны. Я высказал бы здесь такую мысль: к сожалению, сегодня вся великая энергия психологов тратится на погоню за «солнечными зайчиками»: вместо того, чтобы решать подлинные проблемы, они ищут фантомы, которых, как показано, нет и не может быть в силу организации мышления. Тут способности, качества, личные моменты не играют никакой роли, если только вы не хотите описать этот индивидуальный случай.
Но оказалось, и это тоже очень важно, что и в логическом плане поиск процесса решения есть тоже бессмыслица. Мы можем, таким образом, описать тот случай, который был один раз, и весь вопрос: зачем мы его будем описывать, с какой целью? Поэтому категория процесса при анализе процесса решания задач не работает, она принципиально не соответствует тому, что реально происходит в мышлении. Другими словами, категория процесса дефициентна по отношению к решению задач и вообще мыслительной деятельности. Итак, мы начинали с установки, что надо искать процессы решения задач, и пришли к выводу, что хотя этот процесс решения есть и он дискурсивен, но в нем нет ни законосообразности, ни логики, и поэтому ничто не может быть передано дальше, и вообще нам анализ таких процессов если и нужен, то совершенно для других целей.
На большом материале в этой работе показано, как дальше в истории процессы свертываются, замещаясь новыми знаковыми схемами, кардинально меняя процесс мышления, показано, как в результате проделанной рефлексивной работы меняются и преобразуются средства деятельности так, что уже повторение этого процесса становится невозможным (да оно, собственно, и не нужно), что человечество все время проделывает такую работу, избавляясь от реализованных им процессов для того, чтобы строить новые процессы.
Далее встал очень важный принципиальный вопрос, как же это рассматривать, и мы поставили на первый план категорию структуры и резко формулировали принцип, что мышление есть структура, а не процесс. Это было получено в 1959 году(101). Итак, до 1958-1959 года это были чисто логические, методологические, теоретико мыслительные разработки. Это были исследования нормативные в том смысле, что мы каждый раз стремились из анализа опыта мыслительной работы предшествующих поколений в особых ситуациях извлечь определенные средства для организации следующих процессов мышления, а именно для их перестройки и трансформации, не для того, чтобы описать теоретически, а для того, чтобы иметь средства, методы решения проблем. Мы говорили о проблемах, отличая их от задач, мы исследовали задачи в их особой форме, при этом мы ошибочно в тот период думали, что это и есть научно теоретическая работа. Теперь мы понимаем, что это не научно теоретическая работа. Мы задавали эти нормативные представления.
Но с 1958-1959 года, с созданием Комиссии по логике и психологии мышления, с появлением не просто контактов с психологами, дискуссий, обсуждений, разговоров и т.д., а необходимости организовать совместную работу, мы перешли в область изучения живой деятельности школьников. От изучения мышления, зафиксированного в текстах, и от задач реконструкции мышления по материалу мы перешли к анализу реальных деятельных ситуаций детей. И здесь возник новый комплекс проблем, который привел к принципиальному перелому всей концепции, к переходу ее от теоретико мыслительной к теоретико деятельностной. Что здесь произошло? Я зафиксирую две проблемы.
1. Разница психологического и логического подхода к изучению мышления.
2. Проблема процесса решения и способа решения.
Эти две проблемы соединились с тем, что мы проделывали по обсуждению вопроса о том, какую структуру должна иметь теория мышления. Мы с самого начала ставили вопрос методологически, то есть спрашивали: а что мы должны получить в конце, через 200 лет нашей работы, какой вид будет иметь теория мышления?

 

Поэтому параллельно со всеми этими работами был проведен комплекс исследований структуры научных теорий мышления, какой она может быть, потом теории деятельности в отличие от естественных наук, математических теорий и т.д. Мы хотели представить себе это целое и при этом соотнести с естественно историческим процессом развития мышления. Маленький кусочек из работ 1958-1959 годов был опубликован в ежегоднике «Системные исследования»(102) . Это маленькая часть большой работы, законченной в 1959 году.
Итак, мы анализируем процесс решения задачи ребенком. И это процесс решения, представленный линейно. При этом мы говорили о способах решения. Почему? Потому что нам же процесс решения анализировать не надо, нам нужен способ, которым можно было бы решать все другие задачи. Спрашивается: а где этот способ существует? В работе 1962 года «К анализу процессов решения простых арифметических задач»(103) и в ряде других работ, которые велись на материале геометрии, физики и т.д., мы все постоянно сталкивались с вопросом: если вы зафиксировали в последовательности операций и действий само решение, процесс решения, то что такое способ? Это нечто, что мы видим в этом решении? Ну ладно, мы видим, но тогда же это конструкт способ, наша конструкция. А где же эта конструкция существует? Когда мы вдумались в этот вопрос, все перевернулось: мы вынуждены были отказаться от теоретико мыслительного подхода и перейти к совершенно другой концепции. Если раньше мы думали, что решение задач есть вид и тип мышления, то теперь мы говорим, что решение задач не может быть видом и типом мышления, это есть определенная деятельность, и поскольку это деятельность – это нечто принципиально иное.
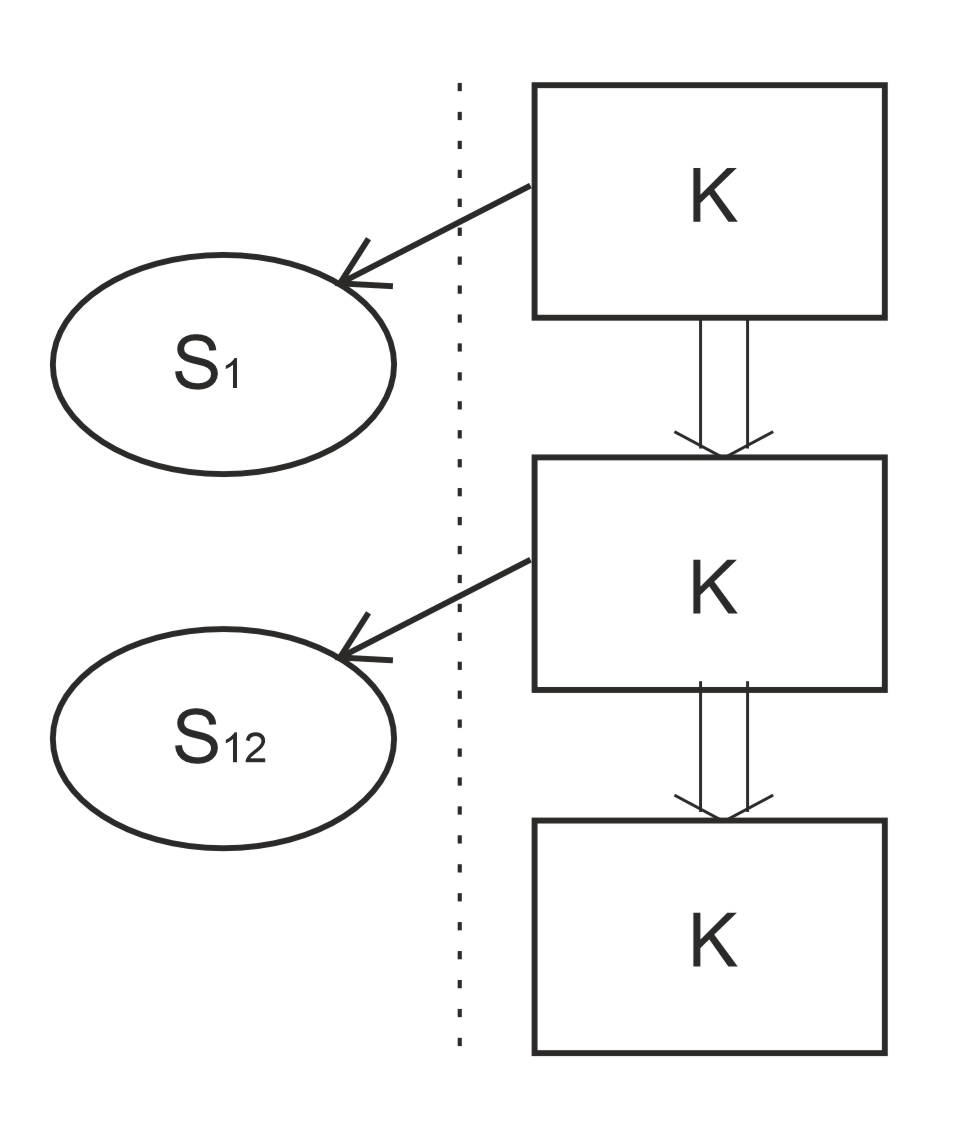
К этому тезису мы пришли от двух вопросов: 1) где существует способ и чем способ отличается от самого процесса решения и 2) что такое нормативное представление и как логика мышления деятельности отличается от психологии мышления деятельности? Ответом на эти вопросы была кардинальная смена исходных представлений и развитие категорий. Введя понятие о воспроизводстве деятельности, об основной схеме воспроизводства (см. рис.4)(104), мы фактически снова переоткрыли великое соссюровское различение речи и языка. Именно этой аналогией я хочу пользоваться.

  Рис. 4
 
PRISS-laboratory/ Виталий СААКОВ/ библиотека// Щедровицкий Г.П. На перекрестке мысли: Введение в системомыследеятельностный подход/// К этому тезису мы пришли от двух вопросов: 1) где существует способ и чем способ отличается от самого процесса решения и 2) что такое нормативное представление и как логика мышления деятельности отличается от психологии мышления деятельности? Ответом на эти вопросы была кардинальная смена исходных представлений и развитие категорий. Введя понятие о воспроизводстве деятельности, об основной схеме воспроизводства (см. рис.4)
© Г.П.Щедровицкий, 1979
 
Но, идя от своих проблем и парадоксов, мы вынуждены были различить эти два образования и заметить, что всякая деятельность есть реализация норм (тогда мы еще не очень различали нормативный план от средственного, это дальше появилось), но имеется такое образование, как нормы и средства вместе, которое имеет совершенно другое реальное существование, нежели сами решения. Если мы хотим разбираться в деятельности и мышлении, то мы должны, прежде всего, четко фиксировать различие способов, которые есть некоторые конструкции средств и существуют в системе трансляции культуры и передачи через обучение и воспитание, с одной стороны, и решений, которые существуют в социетальных ситуациях, там, где они реализуются – с другой. Здесь начинается множество сложных проблем. Например, напрочь снимается проблема творчества, оппозиция формального и творческого, противопоставление их друг другу. Вообще, оказывается, что все это смысла никакого не имеет, поскольку снято в схеме воспроизводства. Если мы берем какой то процесс решения задачи, то, с одной стороны, каждый кусочек в нем имеет отражение в средствах и нормирован; с другой стороны, каждый процесс мышления всегда именно потому, что он нормативен во всех кусочках, творческий от начала и до конца. Это всегда есть результат индивидуальной, здесь происходящей деятельности, мышления, рефлексии и т.д. В этом смысле вообще нельзя противопоставлять творчество и нормировку, творческое всегда нормировано во всех своих морфологических кусочках, и оно вместе с тем всегда творческое, как сложная конструкция.
Если в работах теоретико мыслительного периода мы все время твердо знали, что мы осуществляем нормативный анализ, то есть из бывшего выделяем должное, необходимое, создаем соответствующие схемы, эти схемы выступают как средства дальнейшего решения задач, дальнейшей учебы в следующих ситуациях. За счет этого идет непрерывный процесс развития и трансформации мышления. Поэтому схема воспроизводства задавала один из основных механизмов развития мышления: развитие и функционирование как бы накладываются на процессы воспроизводства. Если мы твердо понимали, что такой анализ создает некоторые нормативные представления, то теперь за счет введения деятельных представлений мы стали говорить, что это нормативное представление в смысле должного, необходимого, созданное исследователями, конструкторами, потом в ситуациях общения передается в деятельность и становится реальным элементом их деятельности. Значит, то, что мы создаем и конструируем как определяющую эпистемическую, а иногда и эпистемологическую конструкцию схему, понятие, норму, затем через общение либо через коммуникацию попадает в систему культуры или трансляции, затем используется, за счет механизмов деятельности становится элементом реальной мыслительной деятельности, иначе говоря, выступает уже не только как нормативное описание, но и как норма или как набор средств.
Но тогда наметился очень интересный и принципиальный ход к построению совершенно новых типов исследовательских предметов, которые мы на третьем этапе назвали нормативно деятельностными предметами и нормативно деятельностными исследованиями. В чем суть этого подхода? В том, что конструктор, схематизируя предшествующий материал, в этом смысле анализируя предшествующий материал, но не исследуя его, создает соответствующее нормативное представление, и это не есть исследование. Современное общество выделило массу операторов разного рода, которые создают подобные схемы, – математики, физики – все те, кто создает соответствующие схематизмы, языки, формы и т.д. Математика – не наука, а язык. Это старое, известное еще Декарту и Лейбницу различение невероятно важно. Есть конструкторы языков, и они могут быть представителями самых разных профессий. Мы создаем эти схемы – это конструктивная и проектная работа, но это не значит, что она идет без материала. Она идет на материале, прежде всего, предшествующих знаний. Когда мы получили эту конструкцию, мы должны посмотреть, это новая конструкция или она уже использовалась как норма. А дальше необходимо посмотреть, как эти нормы реализуются в процессе решения и что при этом, в принципе, появляется. Здесь нужно исследование, специально отвечающее на вопрос: как же реализуются те или иные средства, нормы, схематизмы, в частности, в процессе решания?
Тут появляется, как очень важная, категория ошибки, та самая категория, которая отличает этот предмет от естественно научного. Потому что – как говорил Рене Декарт – природа ошибок не делает, а люди в своей деятельности при решении задач постоянно ошибаются, а самое главное – эти ошибки имеют положительное, эвристическое значение. А следовательно, появляется сложный гетерогенный предмет, в котором есть особая работа по выделению норм, нормативных описаний, которые делаются всеми и всеми могут делаться, но должны делаться по определенным правилам. Причем они существуют практически в каждой сфере деятельности: для педагогов нужны свои конструкторы, для логиков – свои, для психологов – свои.
И другая работа – когда мы начинаем использовать эти схемы средств и нормативных предписаний в функции первой предварительной научной гипотезы, поскольку имеем для этого основания. Если правдоподобен тезис, что средства реализуются в процессе решения (а они нам известны, поскольку они – наши конструкции), то мы можем взять эти сконструированные нами схемы в функции проектов, норм, средств и сказать: вот первое схематическое изображение того, что там происходит. Почему? Нам не нужна традиционная функция истинности и традиционные процедуры проверки, как в естественнонаучном исследовании: соответствует наша гипотетическая схема объекту или нет.
Мы имеем принцип, что схемы, которые мы создаем, организуют деятельность, – принцип Выготского, по сути дела. В этом пункте мы считаем себя органически с ним связанными. Поэтому мы можем взять такого рода схемы как основание для анализа материала.
Но что мы должны показать потом? Мы должны показать потом две принципиально важные вещи: сначала – что этот процесс соответствует этому схематическому представлению, а потом – что процесс не соответствует тому, что происходит, что в нем есть какие то добавки. Чем они определены? Спецификой личности или чем то еще? Непосредственно то да, но опосредованно это есть комбинации других норм, других средств; их комбинация создает то, что характеризует здесь личность, они тоже нормированы. Это все неадекватная форма психологического описания того, что здесь происходит, это есть определенные склейки, свертки, комплексы подобных представлений. Надо описать все это, и это будет вторая часть нормативно деятельностного предмета.
Резюмирую: нормативно деятельностный предмет обязателен для всех дисциплин, изучающих деятельность или связанных так или иначе с изучением деятельности. Нормативно деятельностный предмет имеет две разнородные части, в этом смысле это есть суперпредмет, в котором один раз идет работа по выделению, вычленению нормативных схем (с соответствующей технологией работы), а второй раз идет определенная работа по изучению, реализации всего этого – получаются знания принципиально иного типа. Принцип реализации образует сердцевину нормативно деятельностного предмета и стержень, в соответствии с которым мы организуем наши знания. Вот что было основным результатом второго этапа.
Что явилось другим важным результатом второго этапа? Был поставлен вопрос о соотношении мышления и понимания, мышления и рефлексии. Это можно увидеть в работах, посвященных проблемам лингвистики и связанных с проблемами значения, смысла и т.д. Статья 1974 года «Смысл и значение»(105) дает представление об этом направлении исследований. Дальше, исходя из этих деятельностных схем, необходимо было решить проблему соорганизации мышления, понимания, рефлексии и деятельности. И именно этим были детерминированы проблемы третьего периода.
Но мы не могли этого сделать без еще двух ходов, которые начинаются где то в 1965-1966 году. Параллельно идут дискуссии, связанные с категориями процесс и структура. Очень большой вклад в эту работу сделали, с одной стороны, В.Я.Дубровский, с другой стороны, О.И.Генисаретский, а также В.М.Розин и А.С.Москаева. И от категорий процесс и структура мы должны были прийти к категории система, введя еще два плана, а именно: понятие организованности, ставшее для нас основным, и понятие субстрата, или материала.
 
Причем понятие организованности ближе всего соответствует традиционному понятию морфологии. Тогда у нас получилась четырехслойная категория системы(106), и для того, чтобы описать некоторый объект или явление системно, надо было представить его как процесс (или совокупность процессов), как функциональную структуру (или структуру функций) – и без этого не может быть работа в проспективном, или прожективном, плане. Мы должны представить его как организованность материала – морфологию, как бы фиксирующую следы процессов и функциональных структур, и как субстрат.
Это простая система, на базе этого [понятия] строится понятие сложной системы, и теоретико деятельностный подход перерабатывается в системно деятельностный подход, где фактически соединяются три подхода: деятельностный подход, системный подход (на базе этого принципиально нового понятия системы) и идеи методологической организации, то есть умение соединять знания разного типа – методические, научные, методологические, организационные и т.д.
Для того чтобы дальше решать все эти проблемы, мы должны были фиксировать понятие организованности. Оно привело нас к другому понятию – организации, и в 1965-1966 году было введено принципиально новое (в частности, более всего оно было развито в моих лекциях 1966 года на философском факультете о понятии управления и деятельности управления(107)) представление о социотехнической схеме и социотехническом отношении(108). Было введено понятие социотехнического отношения (оно невероятно важно), фиксирующее деятельность над деятельностью. Это фактически не опубликовано.
Поэтому основные вопросы, которые перед нами сейчас стоят, заключаются в том, чтобы не только разбить процесс и структуры на единицы (целостности), а решить, сколько там социотехнических отношений одно над другим, то есть сколько надслаивающихся уровней организации. Ибо, как я уже говорил выше, процессы со средствами непрерывно свертываются в средства, которые снова входят в процесс крупноблочно. Множество уровней организации деятельности, осуществляющейся за счет деятельности над деятельностью, непрерывно сплющиваются, ложатся одни на другие предметные организации. Предмет есть фактически такие сплющивающиеся деятельности, так он и появляется. Поэтому, чтобы развернуть предмет, надо развернуть массу деятельностей над деятельностью. Нам всегда надо решать, сколько таких социотехнических отношений. Таким образом, понятие социотехнического отношения стало основным.
Важнейшим стало понятие об организационной деятельности, или деятельности по организации(109) . Причем мы сейчас понимаем, что педагог, языковед, литературовед, методист – это все социотехники, то есть те, кто осуществляют определенную деятельность над деятельностью, откладывая результаты своей работы в более или менее сложных организациях, подтягивая все время нижнюю деятельность к верхней, верхнюю к нижней, сплющивая все это. На основе этого мы получили возможность решить проблему соотношения понимания, рефлексии, мышления и деятельности через процессы коммуникации. Мне важно сейчас подчеркнуть, что, скажем, когда мы анализируем ту или иную деятельность, в том числе и деятельность по решению задач, мы рассматриваем ее как происходящую на уровне действования, на уровне коммуникации, вызванном, соответственно, пониманием, на уровне мышления и на уровне рефлексии.
Мы понимаем, что разные участники коллективной работы могут брать на себя не только части кооперированной деятельности (в этом смысле понятие социотехнической организации снимает идею кооперации, поскольку кооперация благодаря организации приобретает принципиально иной вид). Кооперация должна быть организована, за счет этого деятельность, которая с точки зрения предшествующих представлений должна была развертываться в четких ситуациях, как бы развертывается в этих единицах. Членение по единицам деятельности не совпадает с морфологическим членением по носителям. Это две принципиально разные формы членения и организации. И это, на мой взгляд, порождает невероятное количество психологических, личностных проблем и т.д. Это дает нам возможность принципиально по новому решать вопрос о соотношении между действованием, пониманием, мышлением и рефлексией.
Тот массив публикаций, который мы имеем, очень неоднороден. Он отражает, с одной стороны, представления деятельностного периода, с другой стороны, представления теоретико мыслительного периода. Я специально хочу подчеркнуть, что этот перелом есть перелом принципиально иной. Я сказал бы: в этом месте в нашей школе была принципиальная смена всей методологии. Поэтому могут существовать школы, которые продолжают теоретико мыслительный подход. Там можно бесконечно, еще 500 лет вести весьма продуктивные исследования, но они уже стали неприемлемыми с точки зрения более высоких представлений. Теоретико деятельностные представления дают значительно более богатое продолжение, в том числе и для решения задач, нежели теоретико мыслительные. Но и эти представления точно так же снимаются системно деятельностными, в которых уже мышление, рефлексия и понимание сняты через анализ процессов коммуникации, благодаря понятиям социотехнического отношения и организации.
 
     
Сноски и примечания  
(84) - Фрагмент работы: Щедровицкий Г.П. Проблемы методологии системного исследования. М.: Знание, 1964. С. 5–14.  
(85) - «Искусство» в том значении этого слова, которое оно имело в Средние века: искусное, то есть очень умелое, совершенное выполнение работы, основанное на богатом эмпирическом опыте; в таком смысле это слово сейчас часто употребляют кибернетики, например Л.Куффиньяль (см. его статью в сборнике «Наука и человечество»: [Куффиньяль, 1963]).  
(86) - Понятие «мощности» множества было введено знаменитым немецким математиком Г.Кантором (см. по этому поводу сборник «Новые идеи в математике»: ([Кантор, 1914]).  
(87) - Подробнее о противоречиях, связанных с развитием понятия скорости, и их решении см. [Щедровицкий, 1958]. Примеч. ред.  
(88) - Здесь нужно заметить, что, кроме ситуаций антиномий, существует еще ряд других ситуаций, в которых точно так же ставится задача исследовать познавательную деятельность и выделяются ее составляющие. Мы не анализируем их, так как с интересующей нас стороны они ничем не отличаются от ситуации антиномии.  
(89) - См. [Щедровицкий, Садовский, 1964].  
(90) - Под онтологией в данном случае понимается построение специальных изображений объектов как таковых.  
(91) - См. [Гильберт, 1948, с. 391, 363–364; Клини, 1957, с. 55, 58] и др.  
(92) - Публикуется по изданию: Материалы Всесоюзного симпозиума по проблеме «Мышление и общение». [22-25 мая 1973 г.] / Общ во психологов АПН СССР. Мин во просвещения КазССР. Казахск. пед. ин т им. Абая. Казахск. респ. отд ние Общ ва психологов. Алма Ата, 1973. С. 73-77. См. также: Щедровицкий Г. П. Избранные труды. М.: Школа культурной политики, 1995. С. 477-480.  
(93) - Подробнее см. [Щедровицкий, 1975]. Примеч. ред.  
(94) - Из отчета по теме «Постановка проблем и решение задач в условиях коллективной мыследеятельности» (1979 г.). Публикуется по изданию: Вопросы методологии. 1996. № 3-4. С. 5-20.  
(95) - См., например, [Щедровицкий, 1960а]. Примеч. ред.  
(96) - См. [Щедровицкий, 2012, с. 225–226]. Примеч. ред.  
(97) - См. [Маркс, 1955]. Примеч. ред.  
(98) - См. [Щедровицкий, Алексеев, 1957]. Примеч. ред.  
(99) - См. [Щедровицкий, 1962; 1964а]. Примеч. ред.  
(100) - См. [Щедровицкий, 1997]. Примеч. ред.  
(101) - Подробнее см. [Щедровицкий, 2003]. Примеч. ред.  
(102) - См. [Щедровицкий, 1975]. Примеч. ред.  
(103) - Более поздний, обобщающий вариант – работа 1965 года «Исследование мышления детей на материале решений арифметических задач». (См. [Щедровицкий, Якобсон, 1962; Щедровицкий, 1965]. Примеч. ред.)  
(104) - См. также [Щедровицкий, 1967, с. 38–42 (Воспроизводство и трансляция «культуры»); 1999а, с. 118–127; Лефевр, Щедровицкий, Юдин, 1967]. Примеч. ред.  
(105) - См. [Щедровицкий, 1974а]. Примеч. ред.  
(106) - См. [Щедровицкий, 1975, с. 96–109 (4. Основные категории системного подхода)]. Примеч. ред.  
(107) - …в моих лекциях 1966 года на философском факультете о понятии управления и деятельности управления – возможно, речь идет о 7 лекциях на философском факультете МГУ в ноябре-декабре 1967 г. «Проблемы методологии управления социальными процессами» (арх. № 2426 01).  
(108) - См. [Щедровицкий, 1999а, с. 152–168]. Примеч. ред.  
(109) - См. [Щедровицкий, 2000]. Примеч. ред.  
     
 
   
Щедровицкий Георгий Петрович (23.02.1929 - 03.02.1994), философ и методолог, общественный и культурный деятель. Создатель научной школы, лидер основанного и руководимого им на протяжении 40 лет Московского Методологического Кружка (ММК) и развернувшегося на его основе методологического движения. Разрабатывал идею методологии как общей рамки всей мыследеятельности.
- - - - - - - - - - - - - - - -
смотри сайт Фонд "Институт развития им.Щедровицкого"
http://www.fondgp.ru/
- - - - - - - - - - - - - - - -
Щедровицкий Георгий Петрович, 23.02.1929 — 03.02.1994, философ и методолог, общественный и культурный деятель. Создатель научной школы, лидер основанного и руководимого им на протяжении 40 лет Московского Методологического Кружка (ММК) и развернувшегося на его основе методологического движения. Разрабатывал идею методологии как общей рамки всей мыследеятельности. Щедровицкий Георгий Петрович
     
 
 
    © Виталий Сааков,  PRISS-laboratory, с 30 ноября 2025  
    оставить сообщение для PRISS-laboratory
© PRISS-design 2004 социокультурные и социотехнические системы
priss-методология priss-семиотика priss-эпистемология
культурные ландшафты
priss-оргуправление priss-мультиинженерия priss-консалтинг priss-дизайн priss-образование&подготовка
главная о лаборатории новости&обновления публикации архив/темы архив/годы поиск альбом
с 30 нгябрь 2025

последнее обновление/изменение
27 январь 2026
25 январь 2026
20 январь 2026
12 январь 2026
07 декабрь 2025
30 нгябрь 2025